计算方法总结
5.1 引言与预备知识
5.1.1 引言
5.1.2 向量和矩阵
5.1.3 矩阵的特征值与谱半径
5.1.4 特殊矩阵
5.2 高斯消去法
高斯消去法
矩阵的三角分解
- A=LU,其中
每列中的l均为前面的列计算之后的比例 - 例题:书P148 例三

列主元消去法
每列中选取绝对值最大的元素
全主元消去法
- 每一步选取系数矩阵或消元后的低阶矩阵中绝对值最大的元素作为主元素
- 时间代价大
5.3 矩阵三角分解法
直接三角分解法
1.不选主元 -> 杜利特尔
2.选主元
- PA=LU
- Ly=Pb, Ux=y
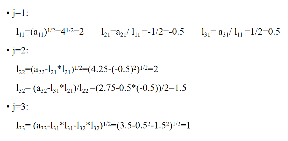
平方根法
A是正定矩阵,
,则有
改进 ->避免开方计算
追赶法
5.4 向量与矩阵的范数


5.5 误差分析
5.5.1 矩阵的条件数
5.5.2 迭代改善法
All articles in this blog are licensed under CC BY-NC-SA 4.0 unless stating additionally.
每列中的l均为前面的列计算之后的比例
,则有




